Call Now
3nh
2024-12-16
CIELuv color space and CIELab color space are the two most common uniform color spaces in colorimeter. Both color spaces use three components to describe color, and color is expressed by lightness and chromaticity. So, what do colorimeter CIELuv and CIELab mean? What are the differences? The following is an introduction.
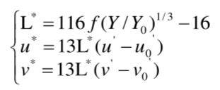
Luv color space is one of the XYZ color spaces, which is used to establish a color space consistent with the human visual system, because the human eye has three color sensors that respond to different wavelengths, and the complete mapping of all visual colors is three-dimensional. But color can be divided into two parts: lightness and chromaticity. For example, white and gray can both be considered white, but white is a brighter color, while gray is considered a darker white. In other words, white and gray are basically the same in chromaticity, but lightness is different. L represents the brightness of the object, and U and V represent chromaticity. The calculation method is shown in the following formula.
The ΔE*uv color difference formula is derived from the linear transformation of the CIE xy chromaticity diagram. The purpose of the linear transformation is to improve the uniformity compared with the visual results. The CIE1976L*u*v* color difference formula is:
In the formula, ΔL* is the lightness difference; Δu * , Δv * are the chroma differences; △E*uv is the total color difference.
The Lab color space is also a type of XYZ color space, which is based on the principle of secondary color encoding by the human eye. The RGB visual cells of the human eye recognize RGB signals, and the neural network re-encodes the RGB signals to form signals of three new channels: black-white, red-green, and yellow-blue, for the brain to identify colors. The black-white channel is named the L channel; the red-green channel is named the a channel; and the yellow-blue channel is named the b channel. It is a uniform color space. The so-called uniformity means that when the Lab values change uniformly, the color changes perceived by the human eye are also uniform. At the same time, this color space is also a color system based on physiological characteristics and a device-independent color system. In other words, it is a color space that is closest to human vision. It can be converted from XYZ:

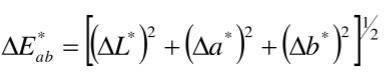
The ΔE*ab color difference formula is based on the CIELab color space and is composed of rectangular coordinates L*, a*, and b*. L represents psychological lightness; a and b represent psychological chromaticity. If two colors are calibrated according to L*a*b*, the color difference between the two colors can be calculated using the Euclidean distance:
CIE1976 Lab uniform color space is a nonlinear transformation of the CIE1931 standard colorimetry system. It converts the XYZ rectangular coordinate color space into cylindrical polar coordinates, and converts the tristimulus values XYZ into lightness L* and chromaticity a*, b* that are consistent with eye vision, where a*, b* are consistent with the sense of hue and saturation. The advantage of CIE1976L*a*b* is that when the color difference is greater than the visual recognition threshold (just perceptible) but less than the color difference between two adjacent levels in the Munsell system, it can better reflect the psychological effect of the color of the object.
The CIE1976L*u*v* uniform color space is actually improved from the CIE1931 and CIE1964 uniform color spaces, making it closer to the Munsell system representing visual equal intervals, and increasing the V coordinate by 50% to improve the uniformity of the U and V chromaticity diagrams.
CIE1976 Luv and CIE1976 Lab color spaces have good uniformity and are widely used in industry. Since the UV chromaticity diagram in the CIE1976 Luv system still retains the horseshoe-shaped spectrum trajectory, it is more suitable as a research tool for industrial sectors such as light source color and color television; CIE1976 Lab is mainly used in surface color industrial sectors such as printing, dyes, pigments and inks.
Find the best mix of quality and insights with our top-notch and helpful articles, all designed to improve your color strategies.